Synthesis of pyrimidines containing hydroxamic acid, 1,3,4-oxadiazole or 1,2,4-triazole moieties as potential HDAC inhibitors

Virginija Jakubkienė*,

Mantas Žvirblis,

Sigitas Tumkevičius

Department of Organic Chemistry,
Institute of Chemistry,
Faculty of Chemistry and Geosciences,
Vilnius University,
24 Naugarduko Street,
03225 Vilnius, Lithuania

The histone deacetylases (HDACs) play an essential role in the transcriptional regulation of cells through deacetylation of nuclear histone proteins and are promising therapeutic targets for treatment of various diseases. Therefore, interest to the design and synthesis of novel HDAC inhibitors, among which hydroxamic acids occupy an important place, has been constantly increasing in recent years. Here, synthesis of pyrimidines with 1,3,4-oxadiazole or 1,2,4-triazole and hydroxamic acid moieties as potential HDAC inhibitors is described. The target compounds were obtained by sequential reactions of (O- and N-pyrimidinyl)alkanoates with hydrazine hydrate followed by cyclization reaction of the obtained hydrazides with potassium O-ethyl xanthate and alkylation of the synthesised oxadiazole(triazole)thiones with 2-chloro-N-hydroxyacetamide. One of 1,3,4-oxadiazole-2-thiones under the treatment with hydrazine hydrate underwent the recyclisation reaction to give the corresponding 4-amino-1,2,4-triazole. Investigation of the inhibitory activity of the synthesised compounds against HDAC4 and HDAC8 isoforms revealed that N-hydroxy-2-(5-(4-(6-(6-methyl-2-(methylthio)pyrimidin-4-yloxy) butyl)-1,3,4-oxadiazol-2-ylthio)acetamide exhibited a weak inhibitory activity against HDAC8 isoform (IC50 = 12.7 μM).

Keywords: HDACs inhibitors, hydroxamic acid, 1,3,4-oxadiazole, pyrimidine

INTRODUCTION

Pyrimidines represent an important group of heterocyclic compounds exhibiting a broad spectrum of biological activity [16]. Every year, several pyrimidine-based drugs are introduced to the market [7]. The 1,3,4-oxadiazole and 1,2,4-triazole rings are also important structural units that are widely found in molecular architectures with medicinal applications [812]. In addition, compounds with a moiety of hydroxamic acid exhibit antibacterial [13], anti-inflammatory [14], anticancer [1518] and HDACs inhibitory [1921] activities. It is also known that pyrimidine-based hydroxamic acids possess diverse biological activities, including HDACs inhibitory activity [22].

Histone deacetylases are a family of enzymes that modulate the acetylation of histones and non-histone proteins. HDACs play an essential role in many biological processes such as gene regulation, transcription, cell proliferation, angiogenesis, migration, differentiation and metastasis [23]. Moreover, HDACs are promising therapeutic targets for cancer treatment, particularly of hematological malignancies, based on the successful clinical approval of five HDACs inhibitors to date: vorinostat, romidepsin, belinostat, panobinostat and chidamide [24, 25]. Three of them have a hydroxamic acid moiety in their structure (Figure).

img

Figure. Approved HDACs inhibitors with hydroxamic acid moiety

In this context and continuing our work dedicated to the development of efficient methods for the synthesis of functionalized pyrimidine heterocycles [2629], we present herein the synthesis of pyrimidines with 1,3,4-oxadiazole or 1,2,4-triazole moiety and hydroxamic acid functional group as potential HDACs inhibitors.

EXPERIMENTAL

Melting points were determined in open capillaries with a digital melting point IA9100 series apparatus (Thermo Fisher Scientific) and are uncorrected. All reactions and the purity of the synthesised compounds were monitored by TLC using Silica gel 60 F254 aluminium plates (Merck). Visualization was accomplished by UV light. Column chromatography was performed using Silica gel 60 (0.040–0.063 mm) (Merck). NMR spectra were recorded on a Bruker Ascend 400 spectrometer (400 and 100 MHz for 1H and 13C, respectively) by using residual solvents peaks as an internal standard. Chemical shifts (δ) were reported in ppm. High Resolution Mass Spectrometry (HRMS) analyses were carried out on a Dual-ESI Q-TOF 6520 (Agilent Technologies) mass spectrometer.

Compounds 1 [30], 3, 4 [31], 6 [10], 10 [32] and 2-chloro-N-hydroxyacetamide [33] were prepared following literature methods.

Ethyl 2-(6-methyl-2,4-dioxo-1,2-

dihydropyrimidin-3(4H)-yl)acetate (2)

To a solution of compound 1 (0.364 g, 1.5 mmol) in dichloroethane (15 ml) at 0–5°C 75% m-CPBA (0.76 g, 3.3 mmol) was added portionwise. The reaction mixture was stirred at this temperature for 3.5 h, then a saturated aqueous NaHCO3 solution (20 ml) was added and stirred for 5 min. The organic layer was separated, the aqueous solution was saturated with NaCl and extracted with dichloroethane. The dichloroethane solutions were combined, dried over Na2SO4 and evaporated under reduced pressure to dryness. Yield 0.262 g (82%), m. p. 144–145°C. Ref. [31]: m. p. 144–145°C; 1H NMR (CDCl3), δ: 10.36 (s, 1H, NH); 5.61 (s, 1H, CH); 4.64 (s, 2H, NCH2); 4.21 (q, J = 7.2 Hz, 2H, OCH2); 2.15 (s, 3H, CH3); 1.28 (t, J = 7.2 Hz, 3H, CH3); 13C NMR (CDCl3), δ: 167.9; 162.7; 153.1; 150.7; 100.2; 61.7; 41.3; 18.9; 14.2.

General procedure for the synthesis of compounds 5, 7, 9 and 15

To a suspension of compound 4, 6, 8 or 14 (1 mmol) in abs. ethanol (10 ml) triethylamine (0.111 g, 0.158 ml, 1.1 mmol) was added at room temperature. The reaction mixture was stirred for 5 min, then 2-chloro-N-hydroxyacetamide (0.12 g, 1.1 mmol) was added. The mixture was stirred at reflux for 2 h, then cooled to room temperature. The resulting precipitate was filtered off (compound 15 was formed as an oil). Compound 7 was washed with cold ethanol and dried; compounds 5 and 9 were purified by crystallisation; compound 15 was purified by column chromatography.

N-Hydroxy-2-(5-((6-methyl-2,4-dioxo-1,2-dihydropyrimidin-3(4H)-yl)methyl)-1,3,4-oxadiazol-2-ylthio)acetamide (5)

Yield 0.174 g (56%), m. p. 288–290°C (decomp.) (from isopropanol–water); 1H NMR (DMSO-d6), δ: 11.20 (s, 1H, NH); 11.05 and 10.99 (2s, 1H, NH); 10.53 and 10.46 (2s, 1H, OH); 5.51 (s, 1H, CH); 4.62 and 4.46 (2s, 2H, NCH2); 4.01 (s, 2H, SCH2); 2.07 (s, 3H, CH3); 13C NMR (DMSO-d6), δ: 168.7; 166.4; 166.0; 164.0; 163.0 (2); 152.8; 152.1; 151.8; 41.2; 41.1; 29.6; 29.5; 18.6; HRMS calcd for C10H11N5O5S: [M + H]+ = 314.0554, found: 314.0554.

N-Hydroxy-2-(5-((6-methyl-2-(methylthio) pyrimidin-4-yloxy)methyl)-1,3,4-oxadiazol-2-ylthio)acetamide (7)

Yield 0.098 g (30%), m. p. 220–222°C (decomp.); 1H NMR (DMSO-d6), δ: 11.07 (br. s, 1H, NH); 10.51 (br. s, 1H, OH); 6.56 (br. s, 1H, CH); 5.12 and 4.90 (2s, 2H, OCH2); 3.99 (br. s, 2H, SCH2); 2.45 and 2.41 (2s, 3H, SCH3); 2.32 (br. s, 3H, CH3); 13C NMR (DMSO-d6), δ: 170.2; 168.1 (2); 166.0; 163.8; 153.8; 102.0; 63.3; 29.0; 23.3; 13.5; HRMS calcd for C11H13N5O4S2: [M + H]+ = 344.0482, found: 344.0479.

2-(4-Amino-5-((6-methyl-2-(methylthio)

pyrimidin-4-yloxy)methyl)-4H-1,2,4-triazol-3-ylthio)-N-hydroxyacetamide (9)

Yield 0.154 g (43%), m. p. 178–180°C (from ethanol); 1H NMR (DMSO-d6), δ: 10.78 and 10.34 (2s, 1H, NH); 9.56 and 9.05 (2s, 1H, OH); 6.54 (s, 1H, CH); 6.06 (2s, 2H, NH2); 5.46 (s, 2H, OCH2); 4.15 and 3.79 (2s, 2H, SCH2); 2.52 (s, 3H, SCH3); 2.34 (s, 3H, CH3); 13C NMR (DMSO-d6), δ: 170.7; 168.7; 168.4; 164.6; 152.7; 152.3; 102.5; 57.2; 33.0; 23.8; 13.9; HRMS calcd for C11H15N7O3S2: [M + H]+ = 358.0751, found: 358.0747.

N-Hydroxy-2-(5-(4-(6-methyl-2-(methylthio) pyrimidin-4-yloxy)butyl)-1,3,4-oxadiazol-2-ylthio)acetamide (15)

Purified by column chromatography; yield 0.142 g (37%), colourless oil, Rf 0.27 [CHCl3:EtOAc:MeOH (4:1:1)]; 1H NMR (CDCl3), δ: 10.37 (br. s, 2H, NH); 8.98 (br. s, 1H, OH); 6.20 (s, 1H, CH); 4.37 (s, 2H, OCH2); 4.16 and 3.88 (2s, 2H, SCH2); 2.88 (s, 2H, CH2); 2.51 (s, 3H, SCH3); 2.34 (s, 3H, CH3); 1.87 (br. s, 4H, 2CH2); 13C NMR (CDCl3), δ: 171.4; 169.2; 168.4; 167.7; 165.4; 164.3; 102.2; 65.6; 32.6; 28.1; 25.1; 23.7; 22.9; 14.1; HRMS calcd for C14H19N5O4S2: [M + H]+ = 386.0951, found: 386.0951.

4-Amino-3-((6-methyl-2-(methylthio)

pyrimidin-4-yloxy)methyl)-1H-1,2,4-triazole-5(4H)-thione (8)

To a suspension of compound 6 (0.27 g, 1 mmol) in abs. butanol (7 ml) 99% hydrazine hydrate (0.08 g, 0.08 ml, 1.5 mmol) in abs. butanol (7 ml) was added dropwise. The reaction mixture was stirred at reflux for 6 h, then cooled to room temperature. The resulting precipitate was filtered off and recrystallised to give 0.11 g (39%) of compound 8, m. p. 169–171°C (from water); 1H NMR (DMSO-d6), δ: 13.81 (s, 1H, NH); 6.56 (s, 1H, CH); 5.63 (s, 2H, NH2); 5.42 (s, 2H, OCH2); 2.48 (s, 3H, SCH3); 2.33 (s, 3H, CH3) 13C NMR (DMSO-d6), δ: 170.3; 168.4; 167.8; 166.6; 147.7; 101.9; 56.9; 23.3; 13.4; HRMS calcd for C9H12N6OS2: [M + H]+ = 285.0587, found: 285.0585.

Synthesis of compounds 11 and 12

Method A: A mixture of compound 10 (0.3 g, 1.9 mmol), TBAB (0.061 g, 0.19 mmol) and triethylamine (0.8 ml) was stirred at room temperature for 5 min, then methyl 5-bromopentanoate (0.4 g, 0.3 ml, 2 mmol) was added dropwise. The reaction mixture was stirred at 50°C for 2.5 h, then cooled to room temperature, diluted with cold water (30 ml) and extracted with chloroform. The extract was dried over Na2SO4 and evaporated under reduced pressure. The resulting oil was purified by column chromatography using CHCl3 : EtOAc : MeOH (4:1:1) as an eluent to give 0.281 g (52%) of compound 11, Rf 0.6 and 0.187 g (32%) of compound 12, Rf 0.5.

Method B: A mixture of compound 10 (0.3 g, 1.9 mmol), K2CO3 (0.1857 g, 1.34 mmol) and dry dimethylformamide (6 ml) was stirred at room temperature for 10 min, then methyl-5-bromopentanoate (0.4211 g, 0.314 ml, 2.2 mmol) was added dropwise to the suspension. The reaction mixture was stirred at 70°C for 2.5 h and filtered. The filtrate was evaporated under reduced pressure, the resulting oil was purified by column chromatography using CHCl3 : EtOAc : MeOH (4:1:1) as an eluent to give 0.353 g (65%) of compound 11, Rf 0.6 and 0.117 g (21%) of compound 12, Rf 0.5.

Methyl-5-(6-methyl-2-(methylthio)pyrimidin-4-yloxy)pentanoate (11)

1H NMR (CDCl3), δ: 6.20 (s, 1H, CH); 4.35 (t, J = 6 Hz, 2H, OCH2); 3.67 (s, 3H, OCH3); 2.52 (s, 3H, SCH3); 2.37 (t, J = 7.2 Hz, 2H, CH2); 2.34 (s, 3H, CH3); 1.80–1.74 (m, 4H, 2CH2); 13C NMR (CDCl3), δ: 173.7; 171.2; 169.1; 167.5; 102; 65.7; 51.5; 33.6; 28.2; 23.6; 21.5; 14; HRMS calcd for C12H18N2O3S: [M + H]+ = 271.1111, found: 271.1111.

Methyl 5-(6-methyl-2-(methylthio)-4-oxopyrimidin-3(4H)-yl)pentanoate (12)

1H NMR (CDCl3), δ: 6.01 (s, 1H, CH); 4.00 (t, J = 7.6 Hz, 2H, NCH2); 3.66 (s, 3H, OCH3); 2.55 (s, 3H, SCH3); 2.36 (t, J = 6.8 Hz, 2H, CH2); 2.20 (s, 3H, CH3); 1.80–1.66 (m, 4H, 2CH2); 13C NMR (CDCl3), δ: 173.6; 162.2; 161.2; 107.7; 51.5; 43.6; 33.5; 26.8; 23.6; 22.2; 14.9; HRMS calcd for C12H18N2O3S: [M + H]+ = 271.1111, found: 271.1111.

5-(6-Methyl-2-(methylthio)pyrimidin-4-yloxy) pentanehydrazide (13)

To a solution of ester 11 (0.372 g, 1 mmol) in abs. ethanol (2 ml) 99% hydrazine hydrate (0.195 g, 0.195 ml, 3.9 mmol) was added. The reaction mixture was stirred at room temperature for 48 h, then another portion of 99% hydrazine hydrate (0.195 g, 0.195 ml, 3.9 mmol) was added and stirring was continued for 4 h at 50°C, followed for 24 h at room temperature. The resulting precipitate was filtered off, washed with ethanol–diethyl ether (1:2) and dried. Yield 0.194 g (52%), m. p. 70–72°C; 1H NMR (CDCl3), δ: 6.19 (s, 1H, CH); 4.33 (s, 2H, OCH2); 3.92–2.90 (br. s, 3H, NHNH2); 2.51 (s, 3H, SCH3); 2.34 (s, 3H, CH3); 2.22 (s, 2H, CH2CO); 1.77 (s, 4H, 2CH2); 13C NMR (CDCl3), δ: 173.6; 171.4; 169.2; 167.8; 102.1; 65.9; 34.1; 28.4; 23.8; 22.1; 14.1; HRMS calcd for C11H18N4O2S: [M + H]+ = 271.1223, found: 271.1220.

5-(4-(6-methyl-2-(methylthio)pyrimidin-4-yloxy)butyl)-1,3,4-oxadiazole-2(3H)-thione (14)

A mixture of hydrazide 13 (0.158 g, 0.58 mmol), potassium ethyl xanthate (0.098 g, 0.61 mmol) and abs. ethanol (0.85 ml) was stirred under reflux for 12 h. The solvent was removed under reduced pressure, the residue was dissolved of in cold water (2 ml). The obtained solution was acidified with conc. HCl to pH 5. The resulting oil was extracted from the aqueous solution with chloroform. The extract was dried over Na2SO4 and evaporated under reduced pressure. The residue was purified by column chromatography using CHCl3 : EtOAc : MeOH (4:1:1) as an eluent to give 0.121 g (66%) of compound 14, Rf 0,71, m. p. 138–140°C; 1H NMR (CDCl3), δ: 12.02 (br. s, 1H, NH); 6.22 (s, 1H, CH); 4.39 (t, J = 5.6 Hz, 2H, OCH2); 2.77 (t, J = 6.8 Hz, 2H, CH2CO); 2.52 (s, 3H, SCH3); 2.38 (s, 3H, CH3); 1.96–1.83 (m, 4H, CH2); 13C NMR (CDCl3), δ: 178.7; 171.5; 169.1; 167.8; 164.1; 102.2; 65.5; 27.9; 25.5; 23.6; 22.4; 14.1; HRMS calcd for C12H18N4O2S2: [M + H]+ = 313.0787, found: 313.0787.

RESULTS AND DISCUSSION

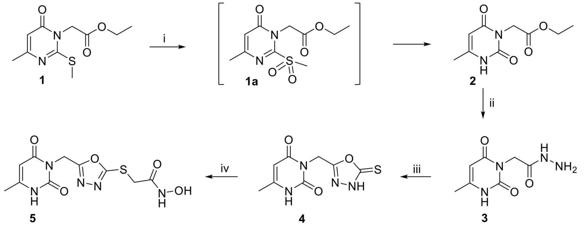
Oxadiazole thione 4, used as a starting compound for synthesis of target compound 5 to study its HDACs inhibitory activity, has been previously synthesised as described in Ref. [31] (Scheme 1).

It should be noted that we have improved the synthesis of compound 2. Previously, this compound was synthesised by stirring ester 1 [30] for 2 days at room temperature in 2 M hydrochloric acid solution [31]. This technique appeared to be inconvenient due to the unpleasant odour and toxicity of methanethiol released during the reaction. To avoid this problem, the methylthio group of compound 1 was oxidised with 75% m-chloroperoxybenzoic acid to a methylsulfonyl group, which was readily replaced by a hydroxy group in the presence of water. Compound 2 by this two-step ‘one pot’ method was obtained in good 82% yield and pure enough to use in the next step. The treatment of ester 2 with hydrazine hydrate in methanol led to the synthesis of hydrazide 3. 1,3,4-oxadiazole-2-thione 4 was prepared by the reaction of hydrazide 3 with potassium O-ethyl xanthate in ethanol. The alkylation of oxadiazole thione 4 with 2-chloro-N-hydroxyacetamide in ethanol in the presence of triethylamine as a base at reflux for 2 h afforded compound 5 in 56% yield. Under the same conditions, the alkylation of 1,3,4-oxadiazole-2-thione 6 [10] with 2-chloro-N-hydroxyacetamide led to the synthesis of hydroxamic acid 7 (Scheme 2).

The treatment of compound 6 with hydrazine hydrate in boiling 1-butanol for 6 h led to the recyclization of the 1,3,4-oxadiazole-2-thione ring to give 4-amino-1,2,4-triazole-5-thione 8. The alkylation of compound 8 with 2-chloro-N-hydroxyacetamide to give hydroxamic acid 9 was carried out under the reaction conditions used for the synthesis of 7 from 6. A synthesis route similar to the previous one was applied to prepare compounds with a longer methylene group bridge between the pyrimidine and oxadiazole rings (Scheme 3).

img

Scheme 1. Synthesis of compounds 2–5. Reagents and conditions: (i) m-CPBA, dichloroethane, 0–5°C, 3.5 h; (ii) N2H4 · H2O, methanol, r. t., 24 h; (iii) potassium O-ethyl xanthate, ethanol, reflux, 12 h; (iv) 2-chloro-N-hydroxyacetamide, TEA, ethanol, reflux, 2 h

For the synthesis of these compounds, 6-methyl-2-methylthiopyrimidin-4(3H)-one (10) [32] was chosen as a starting material. For its alkylation with methyl 5-bromopentanoate, the previously elaborated method [10, 34, 35], whereby alkylation of compound 10 with methyl bromoacetate selectively yields the pure O-isomer in the presence of triethylamine as a base and tetrabutylammonium bromide (TBAB) as a phase transfer catalyst, was first tested. Different variations of this methodology were carried out: bromoester was added dropwise to the reaction mixture at 50°C and stirred at this temperature for further 2 h; bromoester was added dropwise at room temperature and stirred at this temperature for further 24 h; bromoester was added dropwise at room temperature for a period of 6 h. However, in all cases the mixtures of O- and N(3)-isomers 11 and 12 in almost the same ratio (3:2) were formed. In the absence of the selective O-alkylation procedure of compound 10, we decided to perform the alkylation reaction of 10 with ethyl 5-bromopentanoate in dimethylformamide using potassium carbonate as a base. It was found that heating compound 10 at 70°C with methyl 5-bromopentanoate for 2.5 h also produced a mixture of O- and N(3)-isomers, but with the higher proportion of O-isomer compared to previous experiments. The ratio of O- to N(3)-isomers was 3:1. Thus, although the alkylation was not selective, this method proved to be the most suitable for the synthesis of O-isomer 11. It should be noted that the above isomers were isolated by column chromatography from the reaction mixture and the ratios of isomers were determined from the 1H NMR spectra of the reaction mixtures based on the proton signals of their 5-CH, 4-OCH2 and 3-NCH2 groups. For example, in the 1H NMR spectrum of O-isomer 11, a characteristic triplet of the OCH2 group is observed at 4.35 ppm, while the triplet of the NCH2 group of N-isomer 12 is shifted towards a stronger field by 0.35 ppm. The treatment of ester 11 with hydrazine hydrate in methanol led to the formation of hydrazide 13, which in the reaction with potassium O-ethyl xanthate gave oxadiazole-2-thione 14. This multi-step synthesis was completed by the addition of a hydroxamic acid fragment: compound 14 was alkylated with 2-chloro-N-hydroxyacetamide in ethanol in the presence of triethylamine as a base to furnish compound 15 in 37% yield.

img

Scheme 2. Synthesis of compounds 6–9. Reagents and conditions: (i) 2-chloro-N-hydroxyacetamide, TEA, ethanol, reflux, 2 h; (ii) N2H4 · H2O, 1-butanol, reflux, 6 h

img

Scheme 3. Synthesis of compounds 11–15. Reagents and conditions: (i) methyl 5-bromopentanoate, TEA, TBAB, 50°C, 2.5 h; (ii) methyl 5-bromopentanoate, K2CO3, DMF, 70°C, 2.5 h; (iii) N2H4 · H2O, methanol, r. t., 48 h; then 50°C, 4 h; then r. t., 24 h; (iv) potassium O-ethyl xanthate, ethanol, reflux, 12 h; (v) 2-chloro-N-hydroxyacetamide, TEA, ethanol, reflux, 2 h

The inhibitory activity of compounds 5–9 and 13–15 against HDAC4 and HDAC8 isoforms were tested. We have found that only compound 15 showed a weak inhibitory activity against HDAC8 isoform (IC50 = 12.7 μM).

CONCLUSIONS

In summary, for the evaluation of HDACs inhibitory activity, a series of new pyrimidines with 1,3,4-oxadiazole or 1,2,4-triazole scaffold and hydroxamic acid moiety were synthesised. A synthetic route consists of the preparation of (O- and N(3)-pyrimidinyl)alkanoates, their conversion to hydrazides, cyclisation of the latter with potassium O-ethyl xanthate to the corresponding 1,3,4-oxadiazoles and their alkylation with 2-chloro-N-hydroxyacetamide. The preliminary testing of inhibitory activity against HDAC4 and HDAC8 isoforms showed that N-hydroxy-2-(5-(4-(6-(6-methyl-2-(methylthio)pyrimidin-4-yloxy)butyl)-1,3,4-oxadiazol-2-ylthio)acetamide exhibited a weak inhibitory activity against HDAC8 isoform.

ACKNOWLEDGEMENTS

The authors acknowledge prof. dr. Franz-Josef Meyer-Almes and Markus Schweipert (Department of Chemical Engineering and Biotechnology, University of Applied Sciences, Darmstadt, Germany) for the testing of HDACs inhibitory activity.

Received 7 March 2022

Accepted 18 March 2022

References

1. P. Keche, G. D. Hatnapure, R. H. Tale, A. H. Rodge, S. S. Birajdar, V. M. Kamble, Bioorg. Med. Chem. Letters, 22, 3445 (2012).

2. S. Nadar, T. Khan, Chem. Biol. Drug Des., 00, 1 (2021). Available at: https://doi.org/10.1111/cbdd.14001

3. N. J. Basha, N. M. Goudgaon, J. Mol. Struct., 1246, 131168 (2021).

4. E. de Clercq, G. Li, Clin. Microbiol. Rev., 29, 695 (2016).

5. A. Ayati, S. Moghimi, M. Toolabi, A. Foroumadi, Eur. J. Med. Chem., 221, 113523 (2021).

6. E. V. Filho, E. M. C. Pinheiro, S. Pinheiro, S. J. Greco, Tetrahedron, 92, 132256 (2021).

7. H. X. Ding, C. A. Leverett, R. E. Kyne (Jr.), et al., Bioorg. Med. Chem., 23, 1895 (2015).

8. H. Khalilullah, M. J. Ahsan, M. Hedaitullah, S. Khan, B. Ahmed, Mini-Rev. Med. Chem., 12, 789 (2012).

9. N. Yadav, P. Kumar, A. Chhikara, M. Chopra, Biomed. Pharmacother., 95, 721 (2017).

10. V. Jakubkiene, M. M. Burbuliene, G. Mekuškiene, E. Udrėnaitė, P. Gaidelis, P. Vainilavičius, Il Farmaco, 58, 323 (2003).

11. A. Abdelli, S. Azzouni, R. Plais, A. Gaucher, M. L. Efrit, D. Prim, Tetrahedron Lett., 86, 153518 (2021).

12. R. Aggarwal, G. Sumran, Eur. J. Med. Chem., 205, 112652 (2020).

13. D. Zhang, J. Jia, L. Meng, W. Xu, L. Tang, J. Wang, Arch. Pharm. Res., 33, 831 (2010).

14. A. Sellmer, H. Stangl, M. Beyer, et al., J. Med. Chem, 61, 3454 (2018).

15. J.-F. Zhang, M. Li, J.-Y. Miao, B.-X. Zhao, Eur. J. Med. Chem., 83, 516 (2014).

16. W. Liu, Y. Liang, X. Si, Eur. J. Med. Chem., 205, 112679 (2020).

17. Q. Liu, B. Zhang, Y. Wang, X. Wang, S. Gou, Eur. J. Med. Chem., 229, 114058 (2022).

18. Z.-T. Wang, Z.-J. Chen, G.-M. Jiang, et al., Cell. Signal., 28, 506 (2016).

19. P. Trivedi, N. Adhikari, S. A. Amin, et al., Eur. J. Pharm. Sci., 138, 105046 (2019).

20. F. He, Y. Ran, X. Li, et al., Bioorg. Chem., 103, 104109 (2020).

21. K. KrennHrubec, B. L. Marshall, M. Hedglin, E. Verdin, S. M. Ulrich, Bioorg. Med. Chem. Lett., 17, 2874 (2007).

22. J. Zang, X. Liang, Y. Huang, et al., J. Med. Chem., 61, 5304 (2018).

23. X. Peng, Z. Sun, P. Kuang, J. Chen, Eur. J. Med. Chem., 208, 112831 (2020).

24. X. Qiu, L. Zhu, H. Wang, et al., Bioorg. Med. Chem., 52, 116510 (2021).

25. X. He, Z. Hui, L. Xu, et al., Eur. J. Med. Chem., 227, 113946 (2022).

26. M. M. Burbuliene, V. Jakubkiene, G. Mekuskiene, P. Vainilavicius, Phosphorus Sulfur Silicon Relat. Elem., 178, 2431 (2003).

27. T. Serevičius, R. Skaisgiris, J. Dodonova, K. Kazlauskas, S. Juršėnas, S. Tumkevičius, Phys. Chem. Chem. Phys., 22, 265 (2020).

28. G. Mekuskiene, S. Tumkevicius, P. Vainilavicius, J. Chem. Res., 213 (2002).

29. V. Jakubkiene, E. Vaiciunaite, K. Kriukaite, J. Didzgalvis, S. Tumkevicius, Synth. Commun., 48, 1974 (2018).

30. V. Jakubkienė, M. M. Burbulienė, E. Udrėnaitė, V. Garalienė, P. Vainilavičius, Pharmazie, 57, 610 (2002).

31. P. Vainilavicius, R. Smicius, V. Jakubkiene, S. Tumkevicius, Monatsh. Chem., 132, 825 (2001).

32. H. L. Wheeler, H. F. Merriam, Amer. Chem. J., 29, 478 (1903).

33. M. Betti, D. Catarzi, F. Varano, et al., Eur. J. Med. Chem., 127, 150 (2018).

34. P. I. Vainilavicius, V. J. Sedereviciute, Khim. Geterotsikl. Soedin., 1987, 1655 (1987).

35. P. Vainilavicius, V. Sedereviciute, S. Mociskyte, Khim. Geterotsikl. Soedin., 1992, 1655 (1992).


* Corresponding author. Email: virginija.jakubkiene@chf.vu.lt

Virginija Jakubkienė, Mantas Žvirblis, Sigitas Tumkevičius

POTENCIALIŲ HDAC INHIBITORIŲ SU PIRIMIDINO, HIDROKSAMO RŪGŠTIES IR 1,3,4-OKSADIAZOLO ARBA 1,2,4-TRIAZOLO FRAGMENTAIS SINTEZĖ

Santrauka

Susintetinti pirimidino dariniai su 1,3,4-oksadiazolo arba 1,2,4-triazolo fragmentais ir hidroksamo rūgšties funkcine grupe ir ištirtas jų histono deacetilazes slopinantis aktyvumas. Šie junginiai sintetinti iš atitinkamų (O- ir N-pirimidinil)alkanoatų, kurie reaguodami su hidrazino hidratu metanolyje sudarė hidrazidus. Virinant hidrazidus su kalio O-etilksantogenatu etanolyje, susidarė atitinkami 1,3,4-oksadiazol-2-tionai, vieno iš jų oksadiazolo žiedas veikiant hidrazino hidratui reciklizuotas į atitinkamą 4-amino-1,2,4-triazolą. Gautus junginius alkilinant 2-chlor-N-hidroksiacetamidu etanolyje, esant trietilamino, susintetinti atitinkami hidroksamo rūgšties ir penkianarių heterociklų 1,3,4-oksadiazolo arba 1,2,4-triazolo fragmentus turintys pirimidinai. Visų naujų junginių struktūra patvirtinta 1H, 13C ir didelės skiriamosios gebos masių spektrais. Ištirtas susintetintų junginių slopinantis aktyvumas HDAC4 ir HDAC8 izoformoms. Nustatyta, kad N-hidroksi-2-(5-(4-(6-metil-2-metiltio-4-pirimidiniloksi)butil)-1,3,4-oksadiazolil-2-tio)acetamidas pasižymi silpnu HDAC8 izoformą slopinančiu aktyvumu.