IMPROVEMENT OF GaN CRYSTALLINE QUALITY BY SiNx LAYER GROWN BY MOVPE

A. Hospodková a, M. Slavická Zíková a, T. Hubáček a, J. Pangrác a, K. Kuldová a, F. Hájek a, F. Dominec a, A. Vetushka a, and S. Hasenöhrl b

a Institute of Physics CAS, v. v. i., Cukrovarnická 10, 162 00 Prague 6, Czech Republic

b Institute of Electrical Engineering, Slovak Academy of Sciences, Dúbravská cesta 9, 841 01 Bratislava, Slovak Republic
Email: zikova@fzu.cz

Received 8 July 2019; revised 26 November 2019; accepted 27 November 2019

In this work the mechanism which helps to reduce the dislocation density by deposition of a SiNx interlayer is discussed. It is shown that the dislocation reduction by SiNx interlayer deposition is influenced by dislocation density in the underlying GaN layers. The SiNx interlayer is very effective when the original dislocation density is high, while in the case of lower dislocation density the deposition of SiNx is not effective for crystal quality improvement. Although it is widely accepted that SiNx serves as a barrier for dislocation propagation, similarly to the enhanced lateral overgrowth method, it is shown that after masking the SiNx deposition cannot be the dominant dislocation reduction mechanism. The most probable mechanism is the annihilation of bended neighbouring dislocations during the coalescence of 3D islands. The SiNx layer cannot serve as a barrier for dislocations, since it is probably dissolved during the following GaN growth and dissolved Si atoms are incorporated into the above-grown GaN layer which stimulates the 3D island formation. Then the use of the SiNx interlayer for dislocation reduction is recommended only for the improvement of layers with a high dislocation density. On the other hand, the PL signal was strongly enhanced for both low and high dislocation density structures with the SiNx interlayer, suggesting that the interlayer might help to suppress the nonradiative recombination in subsequent GaN that is not related to the dislocation density, which remained the same. But its origin has to be studied further.

Keywords: dislocations, MOVPE, GaN, SiNx, photoluminescence

1. Introduction

Nitride semiconductors are materials intensively studied almost in past three decades. Since then, there have been many searches for the optimal substrate that can be used to grow nitrides with a low number of dislocations and flaws which could be also economically affordable for a wide industrial use. Usually sapphire, Si or SiC substrates are used. One of the main problems remains the difference in lattices of nitrides and a foreign substrate that leads to the rise of a high number of threading dislocations on the interface [1]. Usually a well-described procedure of the growth of a low temperature AlN or GaN buffer layer is used, which involves a low temperature nucleation layer and a consecutive coalescence layer [2]. Within the coalescence layer, large nuclei are formed and then regrown and levelled off by further growth. There are many threading dislocations bent and terminated, thus this layer usually determines the threading dislocation density in the structure. For some applications a high dislocation density is detrimental and there are different approaches how to lower it. One possible way to lower the dislocation density is the so-called enhanced lateral overgrowth (ELOG, sometimes LEO or ELO abbreviation is also used) technology which consists in covering the first coalescence layer by stripes of SiO2 or SiNx, masking this way a majority of dislocations from the original coalescence layer [34]. The disadvantage of this approach is a rather complicated technological procedure and also the application of stripes makes the mechanical properties of such structures anisotropic, resulting in different sample bending in perpendicular directions when cooling after epitaxy that is a complication for further structure processing. Another approach is covering the first coalescence layer partly by a SiNx layer [513]. This procedure was designed as a much cheaper and less complicated alternative to ELOG technology [5, 6]. A randomly distributed SiNx layer deposited in situ after the epitaxy of the first coalescence layer should mask the majority of dislocations similarly to SiO2 or SiNx stripes, then the epitaxy continues by the second coalescence layer with a lower dislocation density. This technological procedure is much simpler than the ELOG technology. Additionally, the mechanical properties of layers are isotropic thanks to the random distribution of SiNx. Although this procedure seemed to be very promising and some researchers published very encouraging results [8, 9, 13], improvements achieved using this technology and reported by other groups were not always so convincing [14]. We have noticed in the literature that big improvements were achieved on the samples with an originally high dislocation density usually grown on Si or SiC substrates, while on GaN layers with a better quality the improvements were much less pronounced [14]. Also the masking mechanism of dislocations by a SiNx layer is not very convincing according to published TEM images, since most of original dislocations are in fact propagating through the SiNx layer and bent afterwards [8]. There is still incomplete understanding about the mechanism involved in dislocation density reduction. Some researchers suppose that the SiNx layer is dominantly nucleated on places with a higher dislocation density [8] and masking dislocation by SiNx is involved in dislocation reduction, others suppose that 3D islanding and subsequent coalescence of islands is the dominant mechanism for dislocation reduction [9]. In this work we discuss a different mechanism of dislocation reduction and suggest a process which is most probably involved in this technological procedure and may also explain limitation of SiNx deposition to suppress the dislocation propagation into the upper layers.

2. Experiment

All samples were prepared on an Aixtron 3×2 CCS MOVPE System equipped by a LayTec EpiCurveTT apparatus for the in situ measurement of reflectivity, curvature and wafer temperature. All structures were grown on sapphire substrates with the exact c-plane orientation. Trimethylgallium (TMGa) and ammonia (NH3) were used as precursors with hydrogen carrier gas for the growth of GaN layers. A low temperature GaN nucleation layer was grown at 550°C at a reactor pressure of 600 mbar. Subsequently a 3 μm thick GaN buffer was grown. The SiNx interlayers were grown using diluted SiH4 usually used for doping.

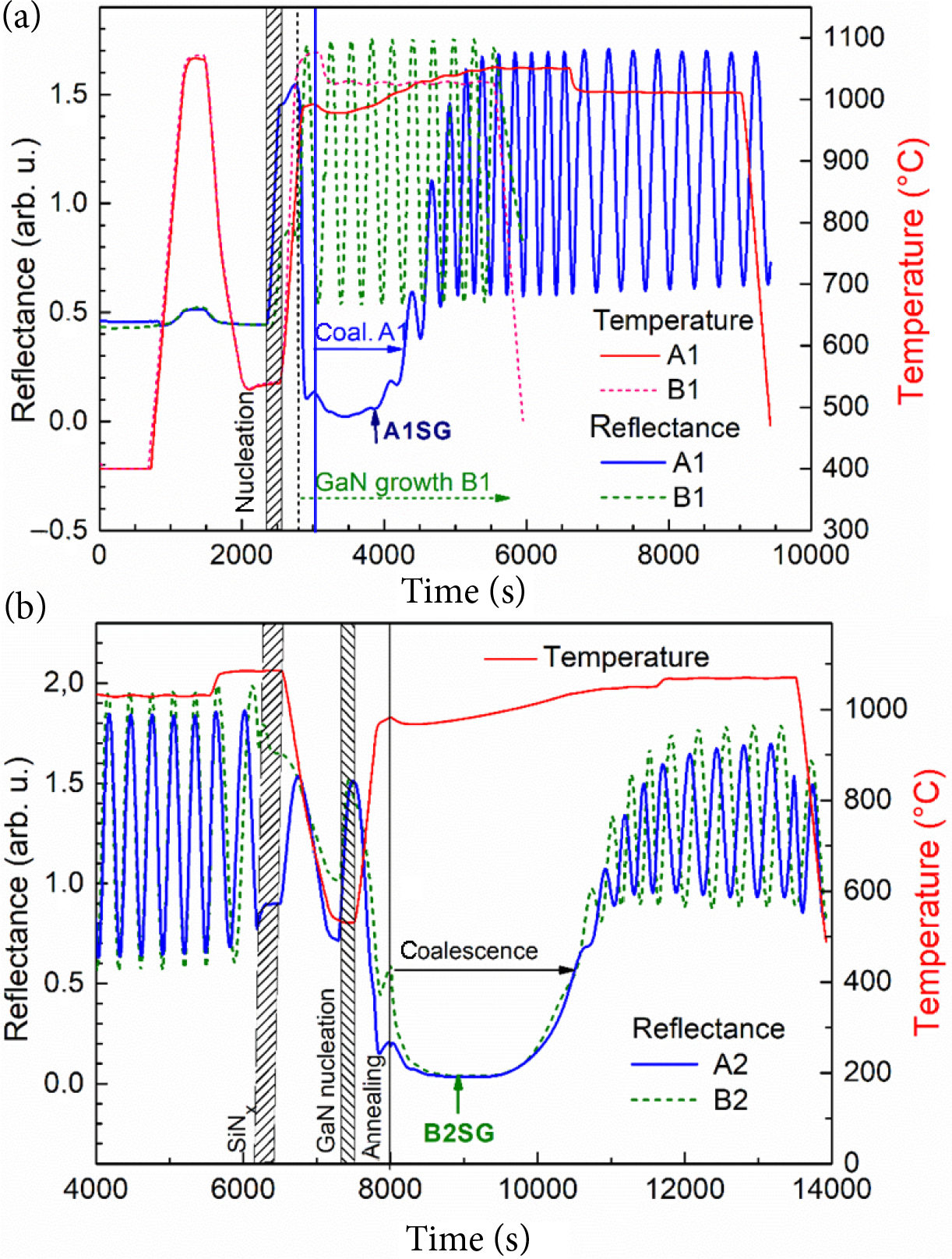
We have prepared sets of samples with a different dislocation density in the first GaN layer and the same technology of a SiNx interlayer to check whether the original dislocation density influences the rate of dislocation reduction by the SiNx interlayer. Samples A were prepared with a lower dislocation density around 8·108 cm–2, more details about the growth parameters of the first GaN coalescence layer of samples A are described in [15]. For samples B, the original dislocation density has been increased by specially designed nucleation and coalescence layer growth conditions. To increase the dislocation density in samples B, less GaN was deposited during nucleation, shorter annealing time was used (see Fig. 1(a)), so that the original GaN islands were smaller and the initial coalescence temperature was increased. All these changed parameters have significantly shortened the coalescence of original GaN islands. This procedure leads to as high dislocation density as 6.5·109 cm–2, which is roughly ten times higher than in the case of samples A. Structures A1 and B1 were finished after the growth of the first coalescence layer. In structures A2 and B2, after the first coalescence layer the SiNx interlayer was deposited with the subsequent second GaN coalescence layer, see Fig. 1(b). The same technological parameters, as in the case of A1, were used for the second coalescence after the SiNx deposition in samples A2 and B2. To compare the morphology of the first coalescence layer and the second coalescence after the SiNx deposition, the so-called ‘stop growth’ samples A1SG and B2SG were prepared. The epitaxy was stopped in both samples after the deposition of the same amount of GaN. The technological parameters of the nucleation and coalescence for all samples are summarized in Table 1.

img
Fig. 1. Reflectance measured on the 633 nm wavelength of samples (a) A1 and B1 and (b) A2 and B2 with the second GaN coalescence layer grown on the SiNx interlayer. Almost twice longer time was necessary after SiNx deposition to recover the Fabry–Perott oscillations. The time when the growth was stopped for samples A1SG and B2SG is marked by a blue (online) and a green (online) arrow.
Table 1. A list of samples according to the topmost layer and quality of the first coalescence layer.
First coalescence Top layer of the sample
1st coalescence layer 1st coalescence layer stop growth SiNx + 2nd coalescence layer 2nd colescence layer stop growth
Long A1 A1SG A2
Short B1 B2 B2SG

The samples were characterized by scanning electron microscopy (SEM), atomic force microscopy (AFM), X-ray diffraction (XRD) and photoluminescence (PL). AFM images were taken by Dimension Icon AFM in the semicontact mode using ASPIRE tips.

For the PL measurement, the He-Cd laser emitting at 325 nm was focused on the sample with a cassegrain objective CG74 (spot diameter 2 μm) and the backscattered light was collected into a LabRam spectrometer equipped with the 1800 grooves/mm grating. The excitation intensity was 50 W cm–2.

3. Results and discussion

As can be noticed from Fig. 1(a, b), the coalescence time of GaN islands nucleating on the SiNx layer (samples A2 and B2) is longer than in the case of the growth of the first coalescence layer on the sapphire substrate (sample A1), although the technological parameters in both cases are the same. This suggests that the GaN islands formed on the SiNx layer are bigger than that on the sapphire. To check the morphology of the coalescence layer on the sapphire and SiNx layer, the so-called ‘stop growth’ samples A1SG and B2SG were prepared. The epitaxy of the coalescence layer was stopped at the same time (900 s) as GaN deposition (Fig. 1(a, b)).

The SEM images of sample surfaces confirm our expectation that on the sapphire the islands are formed smaller and coalescence is started earlier than on the SiNx interlayer (Fig. 2). The coalescence time for both samples A2 and B2 is identical (Fig. 1(b)), although the roughness of underlying layers is considerably different, see AFM images of samples A1 and B1 in Fig. 3. So we can conclude that the roughness of the underlying layer does not influence the coalescence time.

The improvement of the crystal quality by deposition of the SiNx interlayer was checked by the (102) and (002) XRD measurement. The dislocation densities calculated according to the XRD results [16, 17] for the samples with a different original dislocation density and improvement by introduction of the SiNx layer are summarized in Table 2.

img
Fig. 2. SEM surface images of samples A1SG (coalescence on sapphire) and B2SG (coalescence after SiNx deposition). The growth of the samples was stopped after 900 s of the growth of the GaN coalescence layer.
img
Fig. 3. AFM surface images of samples A1 and B1 to compare the surface morphology prior to the SiNx layer deposition. The AFM image of sample B2 demonstrates the improvement of surface morphology after SiNx deposition and the second GaN coalescence layer growth.
Table 2. Dislocation densities calculated according to the XRD results of (102) and (200) diffraction.
Sample Type of sample Dislocation density, cm–2
Screw Edge + Mixed
A1 Long 1st coalescence 1.33E+08 8.03E+08
A2 Long 1st coalescence with SiNx 1.40E+08 5.44E+08
B1 Short 1st coalescence 2.99E+08 6.47E+09
B2 Short 1st coalescence with SiNx 1.27E+08 4.35E+08

It can be noticed that much stronger improvement of the dislocation density by introduction of the SiNx interlayer was achieved for structure B2 with respect to B1, than in the case of structure A2. When the starting dislocation density was higher, the final dislocation density was 15× lower. Surprisingly, the final dislocation density was even lower than in the case of sample A2, where the SiNx interlayer was deposited on a high quality coalescence layer. The XRD results of samples B correspond with the PL measurements, where the PL excitonic peak intensity at 365 nm for sample B2 with respect to sample B1 was 16 times enhanced, similarly to the decrease of the screw dislocation density. But in the case of samples A after the SiNx interlayer deposition and formation of the second coalescence layer, although the dislocation density remained almost the same, the PL was still enhanced 8 times (Fig. 4). This means that GaN grown on the SiNx layer has probably less nonradiative centres that cause PL quenching. This suppression of the quenching has to be further studied to find the origin of the nonradiative centres, but from these results one can assume that it is not related only with the dislocation density, see [18], for example.

In case that the SiNx would simply mask the dislocations propagating from underlying layers similarly to SiO2 in ELOG technology, a linearly proportional decrease of the dislocation density should be expected. However, a much stronger improvement of the crystal quality according to XRD by deposition of the SiNx interlayer was observed for samples B with a higher original dislocation density. This suggests that masking of dislocations may not be the dominant mechanism of crystal structure improvement. More probably the annihilation of dislocation after their bending by 3D growth is responsible for the crystal improvement, since this mechanism is expected to be dependent on the squared dislocation density. That is why SiNx deposition is probably a much less efficient method to suppress the dislocation density in higher quality epitaxial layers. Unfortunately, we do not have TEM measurements of our samples available to support directly this hypothesis. On the other hand, previously reported TEM images give a nice evidence that dislocations are freely penetrating through the SiNx layer and subsequently bent in the GaN layer grown on SiNx [8].

img
Fig. 4. PL spectra of samples (a) A1 and A2 with a high quality of the first coalescence layer on sapphire substrates and (b) of samples B1 and B2 with a short coalescence on sapphire and a higher original dislocation density.

The question is why the masking mechanism is not working. We suggest the following explanation. It is widely accepted that Ga is etching Si containing surfaces such as Si substrate or Si terminated SiC. A similar etching process can take place in the case of GaN growth on the SiNx layer. Etched Si atoms are then incorporated into the GaN layer, which is consequently highly doped by Si. Highly doped GaN layers are known to grow with 3D morphology [9, 19], as demonstrated in Fig. 5(b).

To show the influence of Si doping on the morphology of GaN layers, we have prepared a set of samples C0–C3 with GaN layers of the same nominal thickness, but a different doping level ranging from 1·1018 to 9·1019 cm–3. While for the 1·1018 cm–3 Si doping the surface morphology is smooth without any defects (sample C0 not shown here), for a higher doping level of 9·1018 cm–3 (sample C1) the GaN growth mode is still two-dimensional, but first pits and scratches occur on the epitaxial surface (Fig. 5(a)). For sample C2 with the 3·1019 cm–3 Si doping level, a strong 3D growth mode occurs with the developed facets (Fig. 5(b)) and for sample C3 with the 9·1019 cm–3 Si doping level even bigger 3D GaN islands with a starting columnar growth mode were observed (Fig. 5(c)). We expect that a high Si doping level can be achieved at the initial phase of GaN growth on the SiNx layer which causes the 3D growth mode.

This 3D morphology helps to bend the propagating dislocations and thus increases the probability of annihilation with neighbouring dislocations as suggested by the scheme in Fig. 6. After the incorporation of all dissolved Si atoms, the coalescence of 3D islands will take place and a smooth surface will be formed. Such mechanism can explain why dislocations can simply penetrate through the SiNx layer without being masked, as previously shown in [8], and also why the reduction of dislocation depends on their original density [9].

img
Fig. 5. SEM surface images of Si doped samples. (a) C1 with the 9·1018 cm–3 n-type concentration, (b) C2 with the 3·1019 cm–3 doping level and (c) C3 with the 9·1019 cm–3 doping level.
img
Fig. 6. Scheme of the mechanism of dislocation reduction after the deposition of the SiNx interlayer during the subsequent GaN growth. The dominating mechanism is probably the annihilation of bent dislocations during the 3D GaN island coalescence.

4. Conclusions

In this work we have compared how the dislocation reduction by SiNx interlayer deposition works for samples with a different dislocation density in the underlying GaN layers. We have found that the SiNx interlayer is very effective when the original dislocation density is high, while in the case of a higher quality of the GaN layer, the deposition of SiNx is not that effective for crystal quality improvement. That is why we conclude that the dominant dislocation reduction mechanism cannot be the masking by a SiNx layer, since in such case the dislocation reduction rate would not be dependent on the dislocation density. We suggest that the most probable mechanism is the annihilation of bent neighbouring dislocations during the coalescence of 3D islands. The masking mechanism itself is probably not directly involved in the crystal quality improvement. The SiNx layer is probably dissolved during the following GaN growth, dissolved Si atoms cause high doping of above-grown GaN, and this stimulates 3D island formation. When all Si atoms are incorporated, the coalescence of islands is enhanced and a smooth surface is obtained. What is more surprising is that PL is enhanced for both types of structures with both long and short coalescences. This means that the SiNx layer not only helps to reduce a high number of dislocations for lower quality samples, but strongly enhances PL no matter what the quality of the GaN buffer layer. This is probably due to decreasing of the number of non-radiative centres by using the GaN coalesced on the SiNx interlayer, but this mechanism has to be further studied to completely understand it. According to our results, the SiNx layer technology is suitable for dislocation reduction in case when the dislocation density is high, at least in the order of 109 cm–2, and for the PL enhancement of GaN material for both low and high GaN buffer layer qualities.

Acknowledgements

The authors acknowledge support of GACR Project No. 16-11769S and MSMT Project No. NPU LO1603ASTRANIT. Partial support of TACR Project TH02010014 is also gratefully acknowledged.

References

[1] S.J. Zhou, S. Yuan, Y.C. Liu, L. Jay Guo, S. Liu, and H. Ding, Highly efficient and reliable high power LEDs with patterned sapphire substrate and strip-shaped distributed current blocking layer, Appl. Surf. Sci. 355, 1013–1019 (2015), https://doi.org/10.1016/j.apsusc.2015.07.194

[2] S. Figge, T. Bottcher, S. Einfeldt, and D. Hommel, In situ and ex situ evaluation of the film coalescence for GaN growth on GaN nucleation layers, J. Cryst. Growth 221, 262–266 (2000), https://doi.org/10.1016/S0022-0248(00)00696-5

[3] K. Hiramatsu, K. Nishiyama, M. Onishi, H. Mizutani, M. Narukawa, A. Motogaito, H. Miyake, Y. Iyechika, and T. Maeda, Fabrication and characterization of low defect density GaN using facet-controlled epitaxial lateral overgrowth (FACELO), J. Cryst. Growth 221, 316–326 (2000), https://doi.org/10.1016/S0022-0248(00)00707-7

[4] F. Habel, P. Brückner, and F. Scholz, Marker layers for the development of a multistep GaN FACELO process, J. Cryst. Growth 272, 515–519 (2004), https://doi.org/10.1016/j.jcrysgro.2004.08.082

[5] C.I.H. Ashby, C.C. Mitchell, J. Han, N.A. Missert, P.P. Provencio, D.M. Follstaedt, G.M. Peake, and L. Griego, Low-dislocation-density GaN from a single growth on a textured substrate, Appl. Phys. Lett. 77, 3233–3235 (2000), https://doi.org/10.1063/1.1325394

[6] S. Tanaka, S. Iwai, and Y. Aoyagi, Self‐assembling GaN quantum dots on AlxGa1-xN surfaces using a surfactant, Appl. Phys. Lett. 69, 4096–4098 (1996), https://doi.org/10.1063/1.117830

[7] S. Tanaka, M. Takeuchi, and Y. Aoyagi, Anti-surfactant in III-nitride epitaxy – quantum dot formation and dislocation termination, Jpn. J. Appl. Phys. 39, L831–L834 (2000), https://doi.org/10.1143/JJAP.39.L831

[8] A. Sagar, R.M. Feenstra, C.K. Inoki, T.S. Kuan, Y. Fu, Y.T. Moon, F. Yun, and H. Morkoc, Dislocation density reduction in GaN using porous SiN interlayers, Phys. Status Solidi A 202, 722–726 (2005), https://doi.org/10.1002/pssa.200461486

[9] H. Lahrèche, P. Vennéguès, B. Beaumont, and P. Gibart, Growth of high-quality GaN by low-pressure metal-organic vapour phase epitaxy (LP-MOVPE) from 3D islands and lateral overgrowth, J. Cryst. Growth 205, 245–252 (1999), https://doi.org/10.1016/S0022-0248(99)00299-7

[10] E. Frayssinet, B. Beaumont, J.P. Faurie, P. Gibart, Zs. Makkai, B. Pécz, P. Lefebvre, and P. Valvin, Micro epitaxial lateral overgrowth of GaN/sapphire by metal organic vapour phase epitaxy, MRS Internet J. Nitride Semicond. Res. 7, 8 (2002), https://doi.org/10.1557/S109257830000034X

[11] X.L. Fang, Y.Q. Wang, H. Meidia, and S. Mahajan, Reduction of threading dislocations in GaN layers using in situ deposited silicon nitride masks on AlN and GaN nucleation layers, Appl. Phys. Lett. 84, 484–486 (2004), https://doi.org/10.1063/1.1642274

[12] K. Pakuła, R. Bożek, J.M. Baranowski, J. Jasinski, and Z. Liliental-Weber, Reduction of dislocation density in heteroepitaxial GaN: role of SiH4 treatment, J. Cryst. Growth 267, 1–7 (2004), https://doi.org/10.1016/j.jcrysgro.2004.03.020

[13] A. Dadgar, M. Poschenriede, A. Reiher, J. Bläsing, J. Christen, A. Krtschil, T. Finger, T. Hempel, A. Diez, and A. Krost, Reduction of stress at the initial stages of GaN growth on Si(111), Appl. Phys. Lett. 82, 28–30 (2003), https://doi.org/10.1063/1.1534940

[14] M. Haeberlen, D. Zhu, C. McAleese, M.J. Kappers, and C.J. Humphreys, Dislocation reduction in MOVPE grown GaN layers on (111)Si using SiNx and AlGaN layers, J. Phys. Conf. Ser. 209, 012017 (2010), https://doi.org/10.1088/1742-6596/209/1/012017

[15] T. Hubáček, A. Hospodková, J. Oswald, K. Kuldová, and J. Pangrác, Improvement of luminescence properties of GaN buffer layer for fast nitride scintillator structures, J. Cryst. Growth 464, 221–225 (2017), https://doi.org/10.1016/j.jcrysgro.2016.12.088

[16] M.E. Vickers, M.J. Kappers, R. Datta, C. McAleese, T.M. Smeeton, F.D.G. Rayment, and C.J. Humphreys, In-plane imperfections in GaN studied by X-ray diffraction, J. Phys. D 38, A99–A102 (2005), https://doi.org/10.1088/0022-3727/38/10A/019

[17] H. Heinke, V. Kirchner, S. Einfeldt, and D. Hommel, X-ray diffraction analysis of the defect structure in epitaxial GaN, Appl. Phys. Lett. 77, 2145–2147 (2000), https://doi.org/10.1063/1.1314877

[18] J.Y. Shi, L.P. Yu, Y.Z. Wang, G.Y. Zhang, and H. Zhang, Influence of different types of threading dislocations on the carrier mobility and photoluminescence in epitaxial GaN, Appl. Phys. Lett. 80, 2293–2295 (2002), https://doi.org/10.1063/1.1465531

[19] S. Tanaka, S. Iwai, and Y. Aoyagi, Self‐assembling GaN quantum dots on AlxGa1–xN surfaces using a surfactant, Appl. Phys. Lett. 69, 4096–4098 (1996), https://doi.org/10.1063/1.117830

GaN KRISTALŲ KOKYBĖS GERINIMAS UŽAUGINANT SiNx SLUOKSNĮ METALORGANINĖS GARŲ FAZĖS EPITAKSIJOS BŪDU

A. Hospodková a, M. Slavická Zíková a, T. Hubáček a, J. Pangrác a, K. Kuldová a, F. Hájek a, F. Dominec a, A. Vetushka a, S. Hasenöhrl b

a Čekijos mokslų akademijos Fizikos institutas, Praha, Čekija

b Slovakijos mokslų akademijos Elektros inžinerijos institutas, Bratislava, Slovakija