INVESTIGATION OF DIELECTRIC AND MAGNETIC PROPERTIES OF AL-800 FERRITE

S. Rudys a, b, S. Balčiūnas a, Ch. Vollinger c, J. Banys a, and V. Kalendra a

a  Faculty of Physics, Vilnius University, Saulėtekio 9, 10222 Vilnius, Lithuania

b  Antanas Gustaitis’ Aviation Insitute, Vilnius Gediminas Technical University, Linkmenų 28, 08217 Vilnius, Lithuania

c  CERN, Geneva, Switzerland
Email: vidmantas.kalendra@ff.vu.lt

Received 14 October 2022; accepted 18 October 2022

Ferrites are usually used in accelerators for tuning radiofrequency (RF) cavities and in nonreciprocal devices controlling the power flow in RF accelerating systems. The conventional parallel-biased Ni Zn ferrites employed for varying the frequency of accelerating cavities have the disadvantage of high saturation magnetization (4πMs). Application of the transversely biased yttrium iron garnet (YIG) material in RF tuners promises a significant reduction of power loss compared with systems that use the longitudinal bias. To inject the beam and extract the beam out of the CERN accelerator rings the fast kicker magnets made from ferrite materials must be used. Power deposition in the kicker magnets can be a limitation: if the temperature of the ferrite yoke exceeds the Curie temperature, the beam will not be properly deflected. Investigation of the ferrite electromagnetic properties of materials up to the GHz frequency range is essential for a correct impedance evaluation. This report summarizes an approach for deriving electromagnetic properties as a function of both frequency and temperature of the AL-800 garnet material. This information will be useful for simulating ferrite behaviour under realistic operating conditions.

Keywords: ferrite, dielectric spectroscopy, magnetic permeability

1. Introduction

The main objective of injection and extraction systems is to direct newly injected or extracted particles onto the  correct trajectory. The  most important components of these systems are fast kicker magnets that consist of multiple cells to approximate a  transmission line, where C-shape yokes of magnetic material (typically Ni-Zn ferrites) are embedded between high voltage capacitance plates [1]. The essential parameter of ferrite is permeability, which affects the  strength and homogeneity of the  magnetic field. An accurate model of the ferrite permeability is important to understanding its behaviour and for proper beam coupling impedance simulations.

Power deposition in the ferrite is dependent on the interaction of the beam spectrum with the real component of the longitudinal beam coupling impedance of the magnet [2]. Due to the beam-induced heating, ferrite properties will change, also it will influence beam coupling impedance. Good impedance evaluation is critical, as the impedance can also affect beam stability in the transverse and longitudinal planes [3].

General purpose high-frequency Ni-Zn ferrite is used for the  CERN injection and extraction kicker magnets  [4]. This material has Curie temperature TC = 130°C. A major concern is that the beam-induced heating of the ferrite yoke will result in severely degraded performance of the kickers, especially during operation with long fills with a high beam intensity [5]. An alternative is to employ a ferrite, e.g. AL-800, that has higher Curie temperature (TC = 250°C). For the construction of a fast ferrite tuner in the particle accelerator, AL-800 is the most attractive material. The  fundamental cavity resonance and ferrites will be installed in a  coaxial transverse electromagnetic (TEM) line. Within the line, they will be exposed to a slowly changing magnetic field which is provided by a  solenoid and which is aligned perpendicular to the  RF-magnetic field. AL-800 is the commercially available ferrite material from National Magnetics Group, Inc  [6]. Number 800 indicates that this material has a saturation magnetization (4πMs) of 800 gauss, and letters AL mean that the garnet material is aluminum substituted. Unfortunately, the supplier provides only a few parameters (maximum line width, dielectric constant and loss tangent) for this material only at the specific frequency – 9.4 GHz. The information provided is not sufficient to perform the simulations of ferrite behaviour under realistic operating conditions as magnetic permeability strongly depends on the external magnetic field. The electromagnetic properties of ferrite AL-800 are presented here as a function of both frequency and temperature.

2. Experiment

2.1. Dielectric spectroscopy

For the frequency dielectric measurements, silver paste was applied on the AL-800 ferrite sample to make electric contacts. The sample was fixed on a thin astrositall ceramic plate which was mounted to the cryostat cold finger. Thin silver coated brass wires were used to make the  connection with external connectors. Broad-band dielectric spectroscopy experiments were performed in two different frequency bands. For a 20 Hz – 1 MHz band measurements of capacitance and loss tangent with an HP4284A LCR meter were performed. The flat capacitor model was implemented to calculate the complex dielectric permittivity. The measurements were conducted using a close cycle helium cryostat and the  temperature was determined using a  Lakeshore Cernox temperature sensor. Temperature-dependent dielectric spectra were measured on cooling and heating at a rate of 0.7 K/min. For a 1 MHz – 1 GHz band the  complex reflection coefficient was measured with an Agilent 8714ET vector network analyzer. The  multimode capacitor model was used to calculate the  complex dielectric permittivity [7].

2.2. Magnetic spectroscopy

To measure magnetic permeability we used a classic one-turn inductor method [8]. This method is most popular due to a very simple mathematical model, hardware and calibration. The mathematical model is a simple equation (1) where complex magnetic permeability is expressed directly [9]:

μ= Z m Z sm 2π iω μ 0 hln c b +1. 1

Here μ is the relative permeability, Zm is the measured impedance with a toroidal core, Zsm is the measured impedance without a toroidal core, μ0 is the permeability of free space, h is the  height of the  sample, c is the outer diameter of the sample, b is the inner diameter of the sample, ω is the frequency, and i represents the imaginary unit. Importantly, magnetic permeability does not depend on cavity dimensions and there is no requirement of electric contact to the  sample. The  same measurement setup can be used for the measurements of the samples of various dimensions. To obtain the magnetic permeability, it is necessary to measure the impedance of empty cavity Zsm (it can be considered as calibration) and the impedance of cavity with the toroidal sample Zm. Full calibration of the measurement port is not required. The measurement setup, using a standard 7/8 coaxial line, was fabricated. In order to achieve the maximal frequency, the sample should be fitted into a coaxial line without significant gaps (Fig. 1). On higher frequencies or when magnetic permeability and dielectric permittivity are high, the sample cannot be considered as a lumped inductor, therefore the relevant mathematical model becomes complex. In this case, numerical methods can be helpful. All magnetic permeability measurements were performed by using a Hewlett Packard 8753E vector network analyzer.

img

Fig. 1. Measurement setup using one-turn inductor method for AL-800 ferrite, with a standard 7/8 coaxial line.

3. Results and discussion

After the  sample preparation, at first we made the  dielectric permittivity frequency dependence measurements at room temperature (Fig. 2). From 1 kHz up to almost 1 GHz both real and imaginary parts of the dielectric permittivity are constant. Only at low frequencies one relaxation is visible which is related to the  Maxwell–Wagner relaxation  [10]. The  obtained dielectric permittivity values at higher frequencies (up to 1 GHz) are around 15.3. The supplier declares that dielectric permittivity of AL-800 ferrite is 14.6±5% at 9.4 GHz, this very well agrees with our measurements.

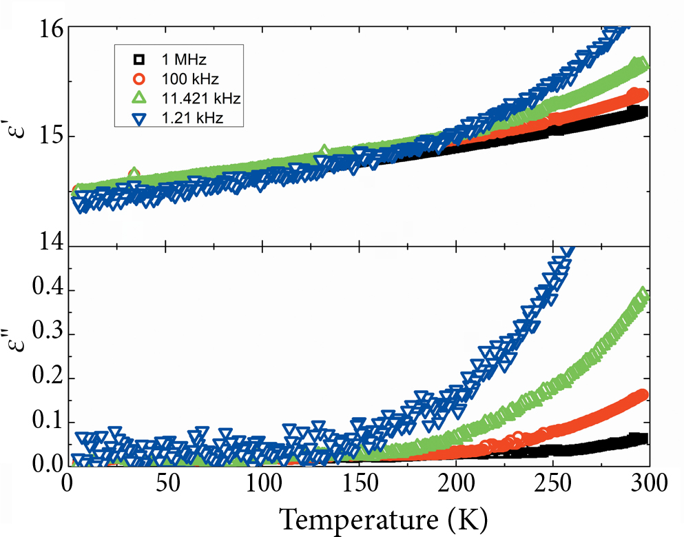
Further temperature dependences of dielectric permittivity at different frequencies are shown in Fig. 3. The Maxwell–Wagner relaxation is no longer observed below 200 K temperature. As the temperature of the sample decreases, the conductivity decreases, thus the frequency of Maxwell–Wagner relaxation also decreases, and it moves to the lower frequency ranges (below 1  kHz). Dielectric permittivity values slowly decrease from 15.3 at room temperature to 14.5 at 5 K temperature. This shows that the dielectric permittivity of AL-800 ferrite is stable in a very broad temperature range.

img

Fig. 2. Frequency dependence of the  real (top) and imaginary (bottom) parts of dielectric permittivity of AL-800 ferrite. Measurements were performed at room temperature.

img

Fig. 3. Temperature dependence of the real (top) and imaginary (bottom) parts of dielectric permittivity of AL-800 ceramics.

Magnetic permeability measurements of ferrite AL-800 were performed in the  frequency range from 1 MHz to 5.5 GHz (Fig. 4). The frequency dependence of magnetic permeability displays a typical behaviour of ferrites when at least two processes are assigned to spins and domain walls contribution. In the frequency range higher than 2 GHz we obtain the  resonance-like behaviour of magnetic permeability. There are no physical reasons for such steep increase of magnetic permeability. Thus, we can suppose that the model of lumped inductor is not valid at high frequency. In this case, dimensions of the  sample are comparable to the  wavelength. The sample should be considered not as a lumped inductor, but as a transmission line. The gaps between conductors, dimensions of the measurement setup and the dielectric permittivity of the sample should be taken into account. Thus, the mathematical model becomes significantly more complex. We used the  optimization option in the  Ansoft HFSS software to calculate magnetic permeability as done in Ref. [11].

The results of calculation of magnetic permeability using the Ansoft HFSS software are presented in Fig. 4 as squares and triangles on the relevant curves of magnetic permeability, obtained by a  one-turn inductor method. Dielectric permittivity values of the  sample were taken into account. Due to time consumption (minutes to tens of minutes for calculation of one point), we have chosen lower density of numerically calculated points than calculated by Eq. (1). A good agreement between two methods of calculation is presented. Instead of sharp resonance-like curves, we obtain that the  value of magnetic permeability real part (μ') is close to unity and that the value of magnetic permeability imaginary part (μ'') is close to zero at frequencies higher than 3 GHz – those are physically reasonable results.

img

Fig. 4. Frequency dependence of the  real (μ') and imaginary (μ'') parts of magnetic permeability of AL-800 ferrite using a  one-turn inductor method. Squares and triangles indicate the  calculated values using the Ansoft HFSS software. Measurements were performed at room temperature.

4. Conclusions

Electromagnetic properties as functions of both frequency and temperature of the  AL-800 garnet material were investigated. The  dielectric permittivity values at room temperature are constant in the  frequency range from 1  kHz up to almost 1 GHz. Only at low frequencies one relaxation is visible, which is related to the  Maxwell–Wagner relaxation. The obtained dielectric permittivity values are around 15.3 at room temperature and decrease to 14.5 at 5 K. The magnetic permeability of AL-800 was investigated using a one–turn inductor method. Frequency dependence of the  magnetic permeability displays a  typical behaviour of ferrites when two processes are assigned to spins and domain walls contribution. Ansoft HFSS software was used to perform calculations of magnetic permeability. The frequency range of a single-turn in ductor can be extended toward high frequency by using commercial electromagnetic simulation software. Simulations using numerical methods allows us to take into account the spurious factors arising at the connection of a measured sample to a metering circuit.

Acknowledgements

This work was performed in the  framework of the  collaboration with CERN. It was funded by the  Lithuanian Academy of Sciences, Grant No. CERN-VU-2021-2022.

References

[1] M.J. Barnes, L. Ducimetiére, T. Fowler, V. Senaj, and L.  Sermeus, Injection and extraction magnets: kicker magnets, arXiv:1103.1583 (2011), https://doi.org/10.48550/arXiv.1103.1583

[2] L. Vega, A. Abanades, M.J. Barnes, V. Vlachodimitropoulos, and W. Weterings, Thermal analysis of the LHC injection kicker magnets, J. Phys. Conf. Ser. 874, 12017 (2017), https://dx.doi.org/10.1088/1742-6596/874/1/012100

[3] G. Rumolo, Beam instabilities, arXiv:1601.05201 (2016), https://doi.org/10.48550/arXiv.1601.05201

[4] M.J. Barnes, A. Adraktas, G. Bregliozzi, B. Goddard, L. Ducimetière, B. Salvant, J. Sestak, L. Vega Cid, W.  Weterings, and C.  Yin Vallgrenet, Operational experience of the  upgraded LHC injection kicker magnets during Run 2 and future plans, J. Phys. Conf. Ser. 874, 012101 (2017), https://dx.doi.org/10.1088/1742-6596/874/1/012101

[5] V.  Vlachodimitropoulos, M.J.  Barnes, L.  Ducimetière, L.  Vega Cid, and W.  Weterings, in: Proceedings of International Particle Accelerator Conference (JACoW, Geneva, Switzerland, 2017) pp. 3471–3474, https://doi.org/10.18429/JACoW-IPAC2017-WEPVA094

[6] National Magnetics Group, https://www.magnet-icsgroup.com

[7] J. Banys, S. Lapinskas, S. Rudys, S. Greicius, and R. Grigalaitis, High frequency measurements of ferroelectrics and related materials in coaxial line, Ferroelectrics 414(1), 64–69 (2011), https://doi.org/10.1080/00150193.2011.577308

[8] J.M.D. Coey, Magnetism and Magnetic Materials (Cambridge University Press, New York, 2009), https://doi.org/10.1017/CBO9780511845000

[9] R.M.  White, Quantum Theory of Magnetism: Magnetic Properties of Materials (Springer, Berlin, 2007), https://doi.org/10.1007/978-3-540-69025-2

[10] F. Kremer and A. Schönhals, Broadband Dielectric Spectroscopy (Springer, Heidelberg, 2003), https://doi.org/10.1007/978-3-642-56120-7

[11] S. Rudys, M. Ivanov, and J. Banys, Ansoft HFSS software application for the dielectric and magnetic measurements of ferroelectrics and related materials in microwaves, Ferroelectrics 430(1), 115–122 (2012), https://doi.org/10.1080/00150193.2012.677732

AL-800 FERITO DIELEKTRINIŲ IR MAGNETINIŲ SAVYBIŲ TYRIMAI

S. Rudys a, b, S. Balčiūnas a, Ch. Vollinger c, J. Banys a, V. Kalendra a

a  Vilniaus universiteto Fizikos fakultetas, Vilnius, Lietuva

b  Vilniaus Gedimino technikos universiteto Antano Gustaičio aviacijos institutas, Vilnius, Lietuva

c  CERN, Ženeva, Šveicarija

Santrauka

Feritai dažniausiai naudojami greitintuvuose radijo dažnių (RD) rezonatorių derinimui ir įrenginiuose, valdančiuose galios srautą RD greitinimo sistemose. Įprasti NiZn feritai, naudojami greitinančių rezonatorių dažniui keisti, turi didelį soties įmagnetėjimą (4πMs). Naudojant itrio geležies granato (IGG) medžiagas RD prietaisuose, galima žymiai sumažinti galios nuostolius, palyginti su sistemomis, naudojančiomis NiZn feritus. Viena iš alternatyvų yra naudoti komerciškai prieinamą IGG feritą AL-800 iš „National Magnetics Group“, tačiau gamintojas duomenų lape pateikia tik kelis parametrus, kurių nepakanka ferito veiklos modeliavimams, siekiant išanalizuoti tikras veiklos sąlygas. Šiame darbe buvo atlikti AL-800 ferito dielektrinių ir magnetinių savybių tyrimai plačiame dažnių ir temperatūrų intervale. Įvertintos dielektrinio laidumo vertės kambario temperatūroje yra maždaug 15,3 ir sumažėja iki 14,5, esant 5  K. Magnetinės skvarbos nuo dažnio priklausomybė yra tipinė feritams ir atsiranda dėl dviejų procesų, priskiriamų sukiniams ir domeno sienelių įtakai.